Πανελλήνιες 2023: Αυτά είναι τα θέματα σε Αρχαία, Μαθηματικά και Βιολογία στα ΓΕΛ
Ανανεώθηκε:
Στα Αρχαία, τα Μαθηματικά και την Βιολογία διαγωνίστηκαν σήμερα οι υποψήφιοι των Πανελληνίων Εξετάσεων στα Γενικά Λύκεια, με το υπουργείο Παιδείας να δίνει στη δημοσιότητα τα θέματα των εξεταζόμενων μαθημάτων στις 10:00πμ.
Όπως σχολιάζουν στο CNN Greece εκπαιδευτικοί, τα θέματα των Αρχαίων ήταν για καλά προετοιμασμένους μαθητές.
Αυτά είναι τα θέματα στα Μαθηματικά«Τα σημερινά θέματα στα αρχαία ήταν για καλά προετοιμασμένους μαθητές, καθώς το διδαγμένο κείμενο ήταν πιο απαιτητικό από το περσινό και το αδίδακτο ήταν στο ίδιο επίπεδο δυσκολίας με πέρυσι» αναφέρει από τα Φροντιστήρια Πουκαμισάς η Γεωργία Μακρή, Ακαδημαϊκός Υπεύθυνη Αρχαίων.
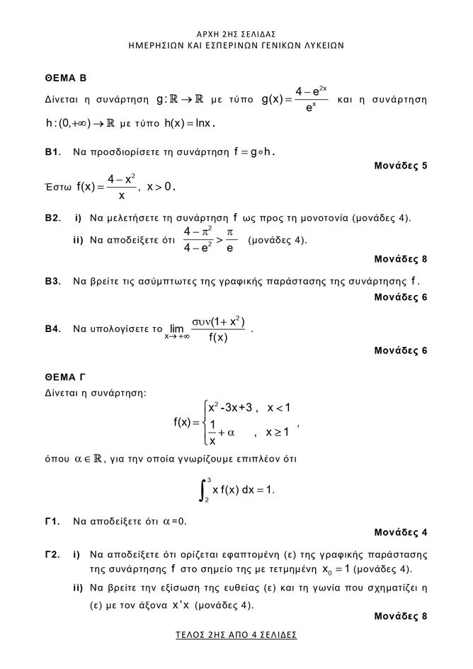
«Τα θέματα σε γενικές γραμμές ήταν εύκολα για σωστά προετοιμασμένους μαθητές, με εύκολη θεωρία, το 2ο και 3ο θέμα να είναι βατά και τα περισσότερα υποερωτήματα να μην απαιτούν ιδιαίτερη αφιέρωση χρόνου ώστε να λυθούν», σχολιάζει στο CNN Greece o Φουντουλάκης Μανώλης, Ακαδημαϊκός Υπεύθυνος Μαθηματικών.
Αυτά είναι τα θέματα στη Βιολογία
«Τα σημερινά θέματα στα οποία εξετάστηκαν οι μαθητές ήταν αρκετά απαιτητικά, που όποιος δεν είχε προετοιμαστεί κατάλληλα δεν θα μπορούσε να απαντήσει. Χρειαζόταν ιδιαίτερη προσοχή, καθώς κάλυπταν το μεγαλύτερο κομμάτι της ύλης και ακόμη και οι ερωτήσεις πολλαπλής ήταν πιο δύσκολες απ ότι συνήθως» λέει στο CNN Greece ο Αλέξανδρος Παπαγιαννακόπουλος, Ακαδημαϊκός Υπεύθυνος Βιολογίας του Ομίλου Φροντιστηρίων Πουκαμισάς.
Τα επόμενα μαθήματα στα οποία εξετάζονται στα ΓΕΛ είναι τα Λατινικά, η Χημεία και η Πληροφορική την Πέμπτη 8 Ιουνίου 2023.
Το CNN Greece, συμμεριζόμενο το μεγάλο ενδιαφέρον μαθητών, γονέων και καθηγητών για την αμεσότερη και την πιο έγκυρη ενημέρωση για τα Θέματα και τις Απαντήσεις των Πανελλαδικών Εξετάσεων 2023, σε συνεργασία με τον Όμιλο Φροντιστηρίων Πουκαμισάς, καθ’ όλη τη διάρκεια των Πανελλαδικών Εξετάσεων θα σας προσφέρει την πληρέστερη ενημέρωση.
Πότε μηδενίζεται το γραπτό
Ο υποψήφιος που εξετάζεται στα πανελλαδικώς εξεταζόμενα μαθήματα απομακρύνεται από την αίθουσα εξέτασης με αιτιολογημένη απόφαση της Λυκειακής επιτροπής και το γραπτό δοκίμιο βαθμολογείται από τη Λυκειακή επιτροπή με τον κατώτερο βαθμό μηδέν 0, αν υπάρξουν οι ακόλουθες ενέργειες:
- αντικείμενο ή μέσο που προαναφέρεται
- ή αντιγράφει κατά τη διάρκεια της εξέτασης από βιβλίο ή οποιουδήποτε είδους σημειώσεις ή από γραπτό δοκίμιο άλλου εξεταζομένου
- ή θορυβεί και δε συμμορφώνεται με τις υποδείξεις των επιτηρητών, επιχειρώντας να αντιγράψει ή εμποδίζοντας την εξέταση άλλων εξεταζομένων
- ή δολιεύεται με άλλο τρόπο την εξέτασή του
Η Λυκειακή επιτροπή, πριν από την επιβολή της ανωτέρω ποινής, καλεί σε προφορική απολογία τον υποψήφιο και συντάσσει σχετικό πρακτικό που υπογράφεται από την τριμελή Λυκειακή Επιτροπή και τον γραμματέα αυτής.
Τα οποιαδήποτε αποδεικτικά στοιχεία επισυνάπτονται στο πρακτικό.
Η τυχόν απόφαση της τριμελούς Λυκειακής Επιτροπής για μηδενισμό γραπτού δοκιμίου υποψηφίου, πρέπει να είναι πλήρως αιτιολογημένη σε πρακτικό που συντάσσεται και υπογράφεται από τον πρόεδρο, τα δύο μέλη και το γραμματέα της Λυκειακής Επιτροπής, στο οποίο πρέπει να αναφέρονται με σαφήνεια οι λόγοι για τους οποίους μηδενίζεται το γραπτό δοκίμιο.
Σε περίπτωση που υπάρχουν στοιχεία τα οποία συλλαμβάνεται να κατέχει ο υποφήφιος, αυτά επισυνάπτονται στο πρακτικό που συντάσσεται και η τριμελής Λυκειακή Επιτροπή βαθμολογεί το γραπτό δοκίμιο με τον κατώτερο βαθμό μηδέν (0).
ΣΧΕΤΙΚΕΣ ΕΙΔΗΣΕΙΣ
Πανελλήνιες 2023: Αυτά είναι τα θέματα των Αρχαίων Ελληνικών στα ΓΕΛ
Πανελλήνιες 2023: Αυτά είναι τα θέματα των Μαθηματικών στα ΓΕΛ
Πανελλήνιες 2023: Αυτά είναι τα θέματα της Βιολογίας στα ΓΕΛ
ΑΑΔΕ: Μετάθεση προθεσμιών διορθώσεων για ΕΑΕ 2024 και 2025 και υποβολής φωτογραφιών για ΕΑΕ 2025
23:11
ΟΙ ΕΞΙ ΛΟΓΟΙ ΠΟΥ ΗΠΑ-ΙΡΑΝ ΒΡΙΣΚΟΝΤΑΙ ΣΤΟ ΧΕΙΛΟΣ ΤΟΥ ΠΟΛΕΜΟΥ: Οι επτά φορές που ο Ντόναλντ Τραμπ κλιμάκωσε τη στρατιωτική επιθετικότητα στη δεύτερη θητεία του
23:00
Τουρκία: Ακυρώθηκαν οι αποψινές πτήσεις προς Τεχεράνη από την Κωνσταντινούπολη
22:54
Μωρό στη Λάρισα χτύπησε το κεφάλι του στο μπάνιο – Μεταφέρθηκε με ασθενοφόρο στο νοσοκομείο
22:47