Κορωνοϊός: 2.073 κρούσματα στην Αττική, 565 στη Θεσσαλονίκη - Ο χάρτης της διασποράς
Σε φάση αποκλιμάκωσης βρίσκεται η πανδημία, όπως φαίνεται και από τα στοιχεία για την διασπορά του κορωνοϊού σε όλες τις γεωγραφικές περιφέρειες της χώρας, σύμφωνα με τα στοιχεία που έδωσε στη δημοσιότητα την Πέμπτη 5 Μαΐου ο Εθνικός Οργανισμός Δημόσιας Υγείας (ΕΟΔΥ).
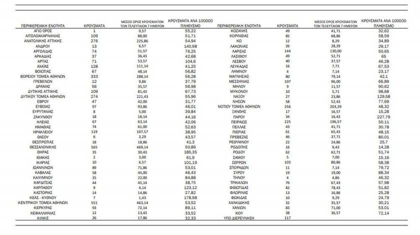
Συγκεκριμένα από τα συνολικά 5.191 κρούσματα που ανακοίνωσε ο ΕΟΔΥ τις τελευταίες 24 ώρες, τα 2.073 εντοπίστηκαν στην Αττική. Ακόμα 565 κρούσματα εντοπίστηκαν στη Θεσσαλονίκη.
Αναλυτικότερα τα κρούσματα στην Αττική:
- 276 κρούσματα στην Π.Ε. Ανατολικής Αττικής
- 333 κρούσματα στην Π.Ε. Βόρειου Τομέα Αθηνών
- 109 κρούσματα στην Π.Ε. Δυτικής Αττικής
- 274 κρούσματα στην Π.Ε. Δυτικού Τομέα Αθηνών
- 551 κρούσματα στην Π.Ε. Κεντρικού Τομέα Αθηνών
- 256 κρούσματα στην Π.Ε. Νοτίου Τομέα Αθηνών
- 225 κρούσματα στην Π.Ε. Πειραιώς
- 58 κρούσματα στην Π.Ε. Νήσων
- 565 κρούσματα στην Π.Ε. Θεσσαλονίκης
- 1 κρούσμα στο Άγιον Όρος
- 109 κρούσματα στην Π.Ε. Αιτωλοακαρνανίας
- 13 κρούσματα στην Π.Ε. Άνδρου
- 74 κρούσματα στην Π.Ε. Αργολίδας
- 37 κρούσματα στην Π.Ε. Αρκαδίας
- 71 κρούσματα στην Π.Ε. Άρτας
- 128 κρούσματα στην Π.Ε. Αχαΐας
- 67 κρούσματα στην Π.Ε. Βοιωτίας
- 12 κρούσματα στην Π.Ε. Γρεβενών
- 56 κρούσματα στην Π.Ε. Δράμας
- 47 κρούσματα στην Π.Ε. Έβρου
- 97 κρούσματα στην Π.Ε. Εύβοιας
- 8 κρούσματα στην Π.Ε. Ευρυτανίας
- 18 κρούσματα στην Π.Ε. Ζακύνθου
- 67 κρούσματα στην Π.Ε. Ηλείας
- 74 κρούσματα στην Π.Ε Ημαθίας
- 119 κρούσματα στην Π.Ε. Ηρακλείου
- 6 κρούσματα στην Π.Ε. Θάσου
- 18 κρούσματα στην Π.Ε. Θεσπρωτίας
- 35 κρούσματα στην Π.Ε. Θήρας
- 2 κρούσματα στην Π.Ε. Ιθάκης
- 10 κρούσματα στην Π.Ε. Ικαρίας
- 89 κρούσματα στην Π.Ε. Ιωαννίνων
- 58 κρούσματα στην Π.Ε. Καβάλας
- 25 κρούσματα στην Π.Ε Καλύμνου
- 44 κρούσματα στην Π.Ε. Καρδίτσας
- 9 κρούσματα στην Π.Ε. Καρπάθου
- 14 κρούσματα στην Π.Ε. Καστοριάς
- 7 κρούσματα στην Π.Ε. Κέας-Κύθνου
- 93 κρούσματα στην Π.Ε. Κέρκυρας
- 12 κρούσματα στην Π.Ε. Κεφαλληνίας
- 26 κρούσματα στην Π.Ε. Κιλκίς
- 49 κρούσματα στην Π.Ε. Κοζάνης
- 85 κρούσματα στην Π.Ε. Κορινθίας
- 12 κρούσματα στην Π.Ε. Κω
- 26 κρούσματα στην Π.Ε. Λακωνίας
- 144 κρούσματα στην Π.Ε Λάρισας
- 49 κρούσματα στην Π.Ε. Λασιθίου
- 40 κρούσματα στην Π.Ε. Λέσβου
- 16 κρούσματα στην Π.Ε. Λευκάδας
- 4 κρούσματα στην Π.Ε. Λήμνου
- 80 κρούσματα στην Π.Ε. Μαγνησίας
- 107 κρούσματα στην Π.Ε. Μεσσηνίας
- 9 κρούσματα στην Π.Ε Μήλου
- 10 κρούσματα στην Π.Ε. Μυκόνου
- 27 κρούσματα στην Π.Ε. Νάξου
- 17 κρούσματα στην Π.Ε. Ξάνθης
- 34 κρούσματα στην Π.Ε. Πάρου
- 43 κρούσματα στην Π.Ε. Πέλλας
- 61 κρούσματα στην Π.Ε. Πιερίας
- 46 κρούσματα στην Π.Ε. Πρέβεζας
- 22 κρούσματα στην Π.Ε. Ρεθύμνου
- 16 κρούσματα στην Π.Ε. Ροδόπης
- 62 κρούσματα στην Π.Ε. Ρόδου
- 5 κρούσματα στην Π.Ε. Σάμου
- 103 κρούσματα στην Π.Ε. Σερρών
- 11 κρούσματα στην Π.Ε. Σποράδων
- 19 κρούσματα στην Π.Ε. Σύρου
- 4 κρούσματα στην Π.Ε. Τήνου
- 76 κρούσματα στην Π.Ε. Τρικάλων
- 82 κρούσματα στην Π.Ε. Φθιώτιδας
- 13 κρούσματα στην Π.Ε. Φλώρινας
- 10 κρούσματα στην Π.Ε. Φωκίδας
- 32 κρούσματα στην Π.Ε. Χαλκιδικής
- 83 κρούσματα στην Π.Ε. Χανίων
- 38 κρούσματα στην Π.Ε Χίου
- 117 κρούσματα υπό διερεύνηση
Στη δημοσιότητα έδωσε την Πέμπτη ο ΕΟΔΥ τα στοιχεία για την εξέλιξη της πανδημίας του κορωνοϊού στην Ελλάδα, με τα νέα κρούσματα, τους θανάτους και τους διασωληνωμένους να βαίνουν μειούμενοι κατά το τελευταίο εικοσιτετράωρο.
Όπως αναφέρει η σχετική ανακοίνωση του ΕΟΔΥ:
Τα νέα εργαστηριακά επιβεβαιωμένα κρούσματα της νόσου (άτομα) που καταγράφηκαν τις τελευταίες 24 ώρες ήταν 5.191. Ο συνολικός αριθμός των ατόμων που νόσησαν ανέρχεται σε 3.348.756 (ημερήσια μεταβολή +0.1%), εκ των οποίων 48.9% άνδρες.
Ο αριθμός πιθανών νέων επαναλοιμώξεων που καταγράφηκαν τις τελευταίες 24 ώρες ήταν 459 ενώ από την αρχή της πανδημίας SARS-CoV-2 ο συνολικός αριθμός εκτιμάται σε 124.822(3.6% του συνολικού αριθμού των θετικών αποτελεσμάτων).
Οι νέοι θάνατοι ασθενών με Covid-19 είναι 30, ενώ από την έναρξη της επιδημίας έχουν καταγραφεί συνολικά 29.315 θάνατοι. Το 95.6% είχε υποκείμενο νόσημα ή/και ηλικία 70 ετών και άνω.
Ο αριθμός των ασθενών που νοσηλεύονται διασωληνωμένοι είναι 224 (63.8% άνδρες). Η διάμεση ηλικία τους είναι 70 έτη. To 92.9% έχει υποκείμενο νόσημα ή/και ηλικία 70 ετών και άνω. Μεταξύ των ασθενών που νοσηλεύονται διασωληνωμένοι, 118 (52.68%) είναι ανεμβολίαστοι ή μερικώς εμβολιασμένοι και 106 (47.32%) είναι πλήρως εμβολιασμένοι. Από την αρχή της πανδημίας έχουν εξέλθει από τις ΜΕΘ 4.616 ασθενείς.
Οι εισαγωγές νέων ασθενών Covid-19 στα νοσοκομεία της επικράτειας είναι 131 (ημερήσια μεταβολή -15.48%). Ο μέσος όρος εισαγωγών του επταημέρου είναι 153 ασθενείς.Η διάμεση ηλικία των κρουσμάτων είναι 36 έτη (εύρος 0.2 έως 112 έτη), ενώ η διάμεση ηλικία των θανόντων είναι 79 έτη (εύρος 0.2 έως 106 έτη).
Eορταστικό ωράριο Πάσχα: Πώς λειτουργούν τα καταστήματα - Ποιες μέρες μένουν κλειστά
01:00
Διακοπές Πάσχα: Πότε γυρίζουν στα θρανία οι μαθητές - Πότε πέφτει η Πρωτομαγιά
00:30
Η Τουρκία ανάμεσα στις χώρες που κινδυνεύουν με εξαιρετικά μεγάλες ελλείψεις νερού
23:59
ΕΚΑΤΟΜΒΕΣ ΝΕΚΡΩΝ ΑΠΟ ΤΟΥΣ ΙΣΡΑΗΛΙΝΟΥΣ ΒΟΜΒΑΡΔΙΣΜΟΥΣ: Εύθραυστη η εκεχειρία στην σκιά της σφαγής στο Λίβανο – Το Μ. Σάββατο οι επαφές στο Πακιστάν
23:55